Formelregister


B01A A
Vitamin K-antagonister
B01A A03
Warfarin
Warfarin
Warfarin
B01A B
Heparingruppen
B01A B01
Heparin
Heparin
Heparin
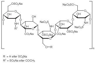
B01A B02
Antitrombin III
B01A B04
Dalteparin
B01A B05
Enoksaparin
B01A C
Hemmere av blodplateaggregasjonen, unntatt heparin
B01A C04
Klopidogrel
Klopidogrel
Klopidogrel
B01A C06
Acetylsalisylsyre
Acetylsalisylsyre
Acetylsalisylsyre
B01A C07
Dipyridamol
Dipyridamol
Dipyridamol
B01A C11
Iloprost
Iloprost
Iloprost
B01A C16
Eptifibatid
Eptifibatid
Eptifibatid
B01A C21
Treprostinil
Treprostinil
Treprostinil
B01A C22
Prasugrel
Prasugrel
Prasugrel
B01A C24
Tikagrelor
Tikagrelor
Tikagrelor
B01A C25
Kangrelor
B01A C27
Seleksipag
B01A C30
Kombinasjoner
Acetylsalisylsyre
Acetylsalisylsyre
Dipyridamol
Dipyridamol
B01A D
Enzymer
B01A D02
Alteplase
B01A D11
Tenekteplase
B01A D13
Apadamtase alfa og cinaksadamtase alfa
B01A E
Direkte trombinhemmere
B01A E03
Argatroban
Argatroban
Argatroban
B01A E07
Dabigatraneteksilat
Dabigatran
Dabigatran
B01A F
Direkte faktor Xa-hemmere
B01A F01
Rivaroksaban
Rivaroksaban
Rivaroksaban
B01A F02
Apiksaban
B01A F03
Edoksaban
B01A X
Andre antitrombotiske midler
B01A X01
Defibrotid
B01A X05
Fondaparinuks
B01A X07
Kaplasizumab


Utskrift (pdf)