FELLESKATALOGEN
Dette er et søkefelt med autofullføringsforslag. Start å skrive og du vil få opp forslag på virkestoff, legemidler og bruksområder, som du kan velge mellom. Bruk Søke-knappen hvis autofullføringsforslagene ikke er relevante, eller Strekkode-knappen hvis du ønsker å skanne strekkoden på legemiddelpakningen.
Søk i alt innhold
Interaksjonsanalyse

Legemidler A-Z

ATC-register

Vaksiner

Apotekpreparater

Virkestoffregister

Formelregister

Legemidler på godkjenningsfritak

Sortimentsendringer

Pasientinformasjon


Anafylaksibehandling

Forgiftninger

Graviditet og legemidler

Amming og legemidler

Miljø og legemidler

Varsler fra DMP

Priser på legemidler

Regelverk og forskrifter


Innstillinger

Søkeverktøy

Mobilapper

Integrasjon med FK

Klinisk Beslutningsstøtte

Om Felleskatalogen

Adresser


Legemidler for dyr


Siste besøkte sider (deaktiveraktiver) Icatibant

Formelregister


Formelindeks
A FORDØYELSESORGANER OG STOFFSKIFTE
B BLOD OG BLODDANNENDE ORGANER
B01 Antitrombotiske midler
B02 Antihemoragika
B03 Midler mot anemi
B05 Blodsubstitutter og infusjonsoppløsninger
B06 Andre hematologiske midler
B06A Andre hematologiske midler
B06A B
Hempreparater
B06A B01
Hemin
B06A C
Midler mot hereditært angioødem
B06A C01
C1-hemmer, plasmaderivert
B06A C02
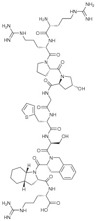
Ikatibant
Icatibant
Icatibant
B06A C05
Lanadelumab
B06A C06
Berotralstat
B06A C07
Garadacimab
C HJERTE OG KRETSLØP
D DERMATOLOGISKE MIDLER
G UROGENITALSYSTEM OG KJØNNSHORMONER
H HORMONER TIL SYSTEMISK BRUK, UNNTATT KJØNNSHORMONER OG INSULINER
J ANTIINFEKTIVER TIL SYSTEMISK BRUK
L ANTINEOPLASTISKE OG IMMUNMODULERENDE MIDLER
M MUSKLER OG SKJELETT
N NERVESYSTEMET
P ANTIPARASITÆRE MIDLER, INSEKTICIDER OG INSEKTMIDLER
R RESPIRASJONSORGANER
S SANSEORGANER
V VARIA


Utskrift (pdf)

Disclaimer

Personvern

Retningslinjer for digital bruk

Kontakt Felleskatalogen