FELLESKATALOGEN
Dette er et søkefelt med autofullføringsforslag. Start å skrive og du vil få opp forslag på virkestoff, legemidler og bruksområder, som du kan velge mellom. Bruk Søke-knappen hvis autofullføringsforslagene ikke er relevante, eller Strekkode-knappen hvis du ønsker å skanne strekkoden på legemiddelpakningen.
Søk i alt innhold
Interaksjonsanalyse

Legemidler A-Z

ATC-register

Vaksiner

Apotekpreparater

Virkestoffregister

Formelregister

Legemidler på godkjenningsfritak

Sortimentsendringer

Pasientinformasjon


Anafylaksibehandling

Forgiftninger

Graviditet og legemidler

Amming og legemidler

Miljø og legemidler

Varsler fra DMP

Priser på legemidler

Regelverk og forskrifter


Innstillinger

Søkeverktøy

Mobilapper

Integrasjon med FK

Klinisk Beslutningsstøtte

Om Felleskatalogen

Adresser


Legemidler for dyr


Siste besøkte sider (deaktiveraktiver) Mivakuriumklorid

Formelregister


Formelindeks
A FORDØYELSESORGANER OG STOFFSKIFTE
B BLOD OG BLODDANNENDE ORGANER
C HJERTE OG KRETSLØP
D DERMATOLOGISKE MIDLER
G UROGENITALSYSTEM OG KJØNNSHORMONER
H HORMONER TIL SYSTEMISK BRUK, UNNTATT KJØNNSHORMONER OG INSULINER
J ANTIINFEKTIVER TIL SYSTEMISK BRUK
L ANTINEOPLASTISKE OG IMMUNMODULERENDE MIDLER
M MUSKLER OG SKJELETT
M01 Antiinflammatoriske og antirevmatiske midler
M02 Topikale preparater ved muskel- og leddsmerter
M03 Muskelrelakserende midler
M03A Perifert virkende muskelrelakserende midler
M03A B
Kolinderivater
M03A B01
Suksametonium
Suksametonium
Suksametonium
M03A C
Andre kvartære ammoniumforbindelser
M03A C09
Rokuroniumbromid
Rokuroniumbromid
Rokuroniumbromid
M03A C10
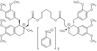
Mivakuriumklorid
Mivakuriumklorid
Mivakuriumklorid
M03A C11
Cisatrakurium
Cisatrakurium
Cisatrakurium
M03A X
Andre perifert virkende muskelrelakserende preparater
M03A X01
Botulinumtoksin
M03B Sentralt virkende muskelrelakserende midler
M03C Direkte virkende muskelrelakserende midler
M04 Giktmidler
M05 Midler til behandling av bensykdommer
M09 Andre midler mot muskel- og skjelettsykdommer
N NERVESYSTEMET
P ANTIPARASITÆRE MIDLER, INSEKTICIDER OG INSEKTMIDLER
R RESPIRASJONSORGANER
S SANSEORGANER
V VARIA


Utskrift (pdf)

Disclaimer

Personvern

Retningslinjer for digital bruk

Kontakt Felleskatalogen